Тральщик Т-904/ТЩ-58 (РТ-94 "Жданов")

Списки личного состава, документы, описания судов и кораблей.
Изображение
31 июля 2012 года исключен из Регистровой книги судов и готовится к утилизации атомный ледокол «Арктика».
Стоимость проекта уничтожения "Арктики" оценивается почти в два миллиарда рублей.
Мы выступаем с немыслимой для любого бюрократа идеей:
потратить эти деньги не на распиливание «Арктики», а на её сохранение в качестве музея.

Мы собираем подписи тех, кто знает «Арктику» и гордится ею.
Мы собираем голоса тех, кто не знает «Арктику», но хочет на ней побывать.
Мы собираем Ваши голоса:
http://arktika.polarpost.ru

Изображение Livejournal
Изображение Twitter
Изображение Facebook
Изображение группа "В контакте"
Изображение "Одноклассники"

Тральщик Т-904/ТЩ-58 (РТ-94 "Жданов")

Сообщение [ Леспромхоз ] » 08 Июль 2012 17:06

Т-904(до 3.07.1941 г. РТ-94 "Жданов")

Водоизмещение 1100 т.
Размерения 48.2 х 8.5 х 4.4 м.
ГЭУ котломашинная, 650 л.с.
Скорость 9.5 узла, дальность 4100 миль.
Вооружение: 2 х 76.2 мм , 2 х 20 мм (до 1943 г. 2 х 45 мм), 2 х 7.62 мм пулемета, тралы: Шульца, 2 змейковых, тихоходный охранитель от мин ТОК-1. Экипаж 43 чел.

Бывший рыболовный траулер Севгосрыбтреста. Построен в 1934 - 1935 гг. Мобилизован 3.07.1941 г. и включен в состав СФ в качестве сторожевого корабля. Носил бортовой №55. С 13.08.1941 г. входил в состав Беломорской флотилии СФ. 20.09.1941 г. переоборудован и переклассифицирован в тральщик, получил бортовой №58. Погиб 25.07.1943 г. от подрыва на мине (установлена ПЛ U-625) в Печорской губе.

© А. Голубев. Потери корабельного состава Северного флота и гражданских ведомств на Северном морском театре в период Великой Отечественной войны.С.-Петербург. 1999

Тральщик Т-904 (борт. №58) (СФ/БВФ)
25 июля 1943 г.

б.РТ-94 "Жданов" Севгосрыбтреста, вст. 1935 г., в сост. СФ с 03 07 1941 г. в качестве сторожевого корабля СКР-66, 20. 09. 1941 г. переоборудован и переклассифицирован в тральщик. 1165 т., 10узл., 2-45мм, 2-7.62мм, тралы

В 02ч. 40м. 25 июля 1943 г. в Печорском море у западного входа в пролив Югорский шар в точке 69°35,2СШ 60°00'ВД на непротраленном участке заграждения ОМU-63 подорвался на донной мине тральщик Т-904, шедший головным в составе конвоя из 13 речных судов из устья реки Печоры в Обскую губу. Взрыв произошел под котельным отделением. Корабль разломился пополам и через 1.5-2 минуты затонул на глубине 16 метров. Из 45 человек, находившихся на тральщике, погибли 10 (2 офицера, 3 старшины. 5 краснофлотцев ) и трое, в т. ч. командир конвоя капитан 1 ранга А. К. Евсеев, получили тяжелые ранения. Раненые на тральщике Т-887 были доставлены в поселок Хабарово, остальные в Белушью на тральщике Т-879.
Заграждение было выставлено подводной лодкой U-592 (?) в 1942 г.

8: с. 472; 10: с. 34; 26: с. 383; 58. C. 35; 59: с. 227; 60: сс. 146, 147, 169; 70: с. 24; 72: сс. 25, 47; 84: с. 104, 124, 170, 183, 193; 88: сс. 57, 362, 393
Аватара пользователя
[ Леспромхоз ]
Редактор
Редактор
 
Сообщения: 10685
Зарегистрирован: 02 Июль 2007 00:17
Откуда: Петрозаводск

Тральщик Т-904/ТЩ-58 (РТ-94 "Жданов")

Сообщение [ Леспромхоз ] » 08 Июль 2012 17:09

© Пузырев В. П. Беломорская флотилия в Великой Отечественной войне.— М.: Воениздат, 1981.

Перевод речных судов осуществлялся по решению правительства в связи с нехваткой их на сибирских реках. С постройкой же Печорской железной дороги речные перевозки в европейской части Севера сократились.

В 1943 г. в Обь было переведено 15 буксиров, а в 1944 г.— 4 буксира, 2 земснаряда и 2 лихтера. В охрапении и буксировке этих судов в 1943 г. участвовали 4 тральщика ("Т-58", "Т-62" — из Белушьей Губы, "Т-32", "Т-54" — из Иоканьги)* и спасательное судно "Шквал" из Архангельска, а в 1944 г.— 5 боевых кораблей и одно гидрографическое судно. В 1943 г. начальником экспедиции был назначен капитан дальнего плавания В. Я. Гольдштейн, а командиром конвоя — начальник штаба Новоземельской ВМБ капитан 1 ранга А. К. Евсеев.
(Военно-исторический журнал, 1973, № 8, с. 97—98.)
В соответствии с планом обеспечения перехода велась воздушная разведка в Карском море, а к мысу Желания была направлена одна подводная лодка. Путь конвоя был проложен по малым глубинам, у самого побережья Югорского полуострова и Ямала. На судах (небольших колесных пароходах по ,150—200 т водоизмещением, которым предстояло пройти в штормы и туманы 1400 миль) выполнялись большие подготовительные работы: крепились переборки, обшивались досками иллюминаторы, готовились буксирные концы. С капитанами и их помощниками, не имевшими опыта плавания в море, были проведены занятия по сигналопроиэводству и маневрированию.

В ночь на 23 июля конвой вышел из Нарьян-Мара и через двое суток подошел к проливу Югорский Шар. Здесь он подвергся первому испытанию: от взрыва донной мины, выставленной за несколько дней до этого немецкой подводной лодкой, затонул флагманский тральщик "Т-58". Погибли 10 человек. 37 человек удалось снасти, среди них семеро были тяжело раненные, в том числе капитан 1 ранта А. К. Евсеев. Пострадавших доставили в Хабарове, куда вскоре самолетами прибыли из Архангельска и Белушьей Губы военные хирурги С. И. Дерналов и Г. П. Новиков. Оказанная ими помощь спасла жизнь раненым.

Тральщик "Т-54" пришлось отправить в Белушыо Губу со спасенными моряками с "Т-58". Дальнейший переход возглавил командир Краснознаменного тральщика "Т-32" капитан-лейтенант И. И. Дугладзе. В конвое теперь было всего два тральщика и спасательное судно. Им к тому же пришлось буксировать маломощные речные буксиры цугом по 5—8 единиц.

 052-Марлян Н.Н.jpg
В Байдарацкой губе конвой выдержал восьмибалльный шторм. Тяжело пришлось речникам, не привыкшим к такой качке, особенно женщинам, которые на судах составляли четверть команд, но все они наравне с мужчинами оставались на своих постах. От ударов волн и ветра порвалось несколько буксирных концов. Пароходы "Выдвиженец" и "Плотник" получили повреждения и потеряли ход. Всю ночь на 29 июля спасательные группы беломорцев, высаженные на аварийные суда, боролись с поступлением воды, заводили буксиры. Особенно отличились боцман с "Т-32" старшина 1-й статьи А. В. Козленко и кок с этого же корабля старший краснофлотец А. М. Господариков, которые работали несколько часов подряд в ледяной воде затопленного отсека парохода "Выдвиженец" .

3 августа речные суда, ведомые флагманским штурманом Новоземельской ВМБ капитан-лейтенантом Н. Н. Марляном, прошли малоизведанным мелководным проливом Малыгина и, соединившись с кораблями охранения, обогнувшими остров Белый с севера, 7 августа прибыли в Новый Порт на Оби. За успешное выполнение правительственного задания многие участники перехода были награждены орденами и медалями.


* С номерами тральщиков у автора проблемы (перепутаны тактические номера с бортовыми):
ПЕРЕЧЕНЬ №17
Краснознаменны базовый тральщик "Т-887" б.№32 (б.РТ-46), 29.7.41-9.5.45
Базовый тральщик "Т-879" б.№54 (б.РТ-9 "Ролик"), 24.8.41-18.3.45, Возвращен НКРП
Базовый тральщик "Т-904" б.№58 (б.РТ-94), 21.7.41-25.7.43
Базовый тральщик "Т-908" б.№62 (б.РТ-41 "М.Горький"), 13.8.41-18.3.45, Возвращен НКРП
Аватара пользователя
[ Леспромхоз ]
Редактор
Редактор
 
Сообщения: 10685
Зарегистрирован: 02 Июль 2007 00:17
Откуда: Петрозаводск

Тральщик Т-904/ТЩ-58 (РТ-94 "Жданов")

Сообщение [ Леспромхоз ] » 09 Июль 2012 12:42

© Головко А. Г. Вместе с флотом. — М.: Финансы и статистика, 1984.
Книга на сайте: http://militera.lib.ru/memo/russian/gol ... index.html
Книга одним файлом: http://militera.lib.ru/memo/0/chm/russi ... vko_ag.zip

Глава двенадцатая.
Учесть на будущее (1943, октябрь)

Благодаря таким мерам положение на арктических коммуникациях удалось выправить. Во-первых, как только стало известно о проникновении вражеских рейдеров из Баренцева в Карское море вокруг мыса Желания, мы направили в этот район подводную лодку «С-101» (командир корабля капитан 3 ранга П. И. Егоров), и она успешно выполнила порученное ей дело: обнаружила и потопила фашистскую подводную лодку «У-639». Успешные действия «С-101» во многом обеспечили проводку самого необычного конвоя, порученного Северному флоту.

Это была проводка группы речных судов из устья Печоры через Карское море в устье Оби. 23 июля конвой в составе пятнадцати речных пароходов, сопровождаемый кораблями эскорта (командир конвоя капитан 1 ранга А. К. Евсеев), снялся с якоря и вышел из Нарьян-Мара курсом на пролив Югорский Шар. Проводка проходила в тяжелых для речных судов навигационных условиях. В Карском море в дни перехода сила ветра колебалась от четырех до восьми баллов. На шести буксируемых судах лопнули буксирные концы. Неоднократно конвой был вынужден отстаиваться на якоре возле берега и даже ложиться в дрейф до улучшения погоды. К навигационным трудностям прибавлялись минная опасность и, пока суда конвоя не вышли из Печорского моря через пролив Югорский Шар в Карское море, угроза нападения вражеских подводных лодок. В этих условиях и были потеряны два (?) корабля эскорта — один тральщик подорвался на мине, второй был атакован фашистской подводной лодкой (?), когда [174] отделился от конвоя, чтобы доставить в одну из бухт западного побережья Новой Земли (то есть со стороны Баренцева моря) раненых из экипажа погибшего тральщика. Тем не менее все речные суда в целости и сохранности были проведены в пункт назначения и 7 августа благополучно достигли Нового порта в Обской губе.
Аватара пользователя
[ Леспромхоз ]
Редактор
Редактор
 
Сообщения: 10685
Зарегистрирован: 02 Июль 2007 00:17
Откуда: Петрозаводск

Тральщик Т-904/ТЩ-58 (РТ-94 "Жданов")

Сообщение [ Леспромхоз ] » 10 Июль 2012 08:27

«Морская коллекция» №6 (141)» 2011 г.

© А.Е. Волков
НЕЗАМЕТНЫЕ ГЕРОИ
Траулеры в составе Советского флота

В 1943 г. после завершения постройки железной дороги, на реке Печора образовался избыток речного тоннажа. По решению правительства высвободившиеся суда было решено перевести морским путем на реку Обь. Для выполнения этого задания командование Беломорской флотилии выделило тральщики Т-887, Т-879, Т-904, Т-908 и СС «Шквал» под общим командованием капитана 1 ранга А.К. Евсеева. 23 июля конвой вышел из Нарьян-Мара в сторону пролива Югорский Шар. В его составе находилось 15 речных буксиров. Максимальная скорость речных судов не превышала 6 уз., их не полностью укомплектованные экипажи на четверть состояли из женщин. Чтобы ускорить продвижение каравана, было решено, что часть охранения поведёт «речников» на буксире (два тральщика по четыре судна, спасательный буксир - семь). Маршрут движения пролегал вблизи побережья, по малым глубинам. Караван успешно продвигался, и через два дня достиг пролива Югорский Шар. И здесь случилась беда. 25 июля у западного входа в пролив шедший головным флагманский тральщик Т-904 подорвался на донной мине. Взрыв произошёл под котельным отделением, корабль переломился и через две минуты скрылся под водой. Погибли 10 человек. Остальных, в том числе семерых (по другим данным - трёх) тяжелораненых подобрали шлюпки с других тральщиков. Спасённых, среди них оказался и командир конвоя, на Т-879 доставили в Хабарово. Минное заграждение, на котором погиб тральщик, было выставлено еще в 1942 г. немецкой подводной лодкой U-592.(?)
Руководство переходом принял на себя командир Краснознамённого тральщика капитан-лейтенант И.И. Дугладзе. Теперь двум оставшимся кораблям и спасательному судну «Шквал» приходилось буксировать маломощные речные суда цугом, по 5 - 8 единиц. В Байдарацкой губе конвой выдержал восьмибалльный шторм.
Из наградного листа на командира тральщика капитан-лейтенанта И.И. Дугладзе от 6 сентября 1943 г.:

«В июле 1943 г. находясь в составе конвоя из 15-ти речных судов из Нарьян-Мара в Новый Порт, после тяжелого ранения командира конвоя и гибели флагманского тральщика №58 т. Дугладзе организовал спасение личного состава. Его шлюпки подобрали из воды при 6-7-бальной волне и спасли 37 человек бойцов и командиров. После этого по собственной инициативе принял командование конвоем на себя.
В Карском море и в условиях штормовой погоды буксиры обрывались, для речных судов, не приспособленных для плавания в море, создалась угроза гибели, пароход «Выдвиженец» залило водой, и он начал тонуть. Тов. Дугладзе организовал из личного состава спасательную партию и отправил её на шлюпке к пароходу, благодаря своевременно принятым мерам пароход был спасён, на оторвавшиеся суда заводились новые буксиры, и боевое задание было выполнено без единой потери».


При спасении буксирного парохода отличились старпом А.З. Маклаков, электрик Малков, матрос Барзенков и другие моряки.
Только на четвёртый день ветер стих, и караван стал медленно продвигаться вперёд, по-прежнему держась мелководья. Это помогло избежать атак вражеских подводных лодок. 7 августа он благополучно достиг Нового порта на реке Обь.


 Дугладзе.jpg
ДУГЛАДЗЕ Илья Иванович (15.08.1903 – 14.11.1970), военный и промысловый капитан. Родился в г. Поти (Грузия). Окончил школу рулевых учебного отряда Черномор-ского флота (1926), Одесский морской техникум (1931). С 1923 года – матрос Потийского торгового порта, матрос-рулевой Черноморского флота, командир отделения рулевых Амурской военной флотилии. С 1931 года – помощник капитана на судах Севторгфлота, с 1934 года – старший штурман, капитан РТ-58 «Спартак», РТ-30 «Уссуриец» Мурманрыбы, с 1939 года – командир сторожевого корабля «Заря», военного тральщика ТЩ-32 «Лосось». В 1944-45 годах – командир минного заградителя «Мурман» Беломорской военной флотилии. Участник перегонки транспортных судов, полученных в счет репарации из Германии в СССР, в 1949 году – начальник атлантической сельдяной экспедиции. С 1953 года – в управлении Мурмансельдь, капитан БМРТ «Жигулевск» и других судов, руководитель флота. С 1962 года на пенсии. Награжден двумя орденами Красного Знамени (1943, 1944) и орденом Отечественной войны 1-й степени, медалями.
Источник: еженедельник «Рыбный Мурман», 1997-2000 (Энциклопедия Кольского края). Кольская энциклопедия, 2008. № 2 1990 года.
http://rmpoisk.narod.ru/
Аватара пользователя
[ Леспромхоз ]
Редактор
Редактор
 
Сообщения: 10685
Зарегистрирован: 02 Июль 2007 00:17
Откуда: Петрозаводск

Тральщик Т-904/ТЩ-58 (РТ-94 "Жданов")

Сообщение [ Леспромхоз ] » 10 Июль 2012 09:02

ЦВМА ф.3, оп.1, д.358
Сведения о раненых.
 003-0000001-0358-00000792.jpg
 003-0000001-0358-00000793.jpg
 003-0000001-0358-00000794.jpg

1. ЕВСЕЕВ Александр Куприянович, Капитан 1 ранга, б/п, Н-к штаба Новоземельской ВМБ, Подрыв на мине ТЩ-58 3див.ТЩ Бриг.траления, Открытый перелом двух костей левой голени, перелом правой лопатки и ушиб тела.
2. ШЕРГИН Михаил Алексеевич, мл.лейт.запаса, кн.ВКП(б), Пом.к-ра ТЩ-58 3 див.ТЩ Бриг.тр.,_"_, Открытый перелом черепа с повреждением ткани мозга.
3. ЗАДОРИН Павел Алексеевич, старший лейтен.запаса, кн.ВКП(Б), К-р ТЩ-58 3 див.ТЩ Бриг.тр.,_"_, легкое ранение.
4. БУРКОВ Федор Прокопьевич, младш.лейтен.запаса, кн.ВКП(Б), К-р БЧ I-IV ТЩ-58 3 див.ТЩ Бриг.тр.,_"_, легкое ранение.
Аватара пользователя
[ Леспромхоз ]
Редактор
Редактор
 
Сообщения: 10685
Зарегистрирован: 02 Июль 2007 00:17
Откуда: Петрозаводск

Тральщик Т-904/ТЩ-58 (РТ-94 "Жданов")

Сообщение [ Леспромхоз ] » 10 Июль 2012 09:31

Список моряков тральщика ТЩ-58 погибших 25.07.1943 г.
ЦВМА ф.864, оп.1, д.1342
Донесения о безвозвратных потерях.
ОРСО Беломорской ВФ №01311 от 31.07.1943 г., ЦБУП УПК ВМФ вх.№1470 05.08.1943
 0-76614923.jpg
 1-76614924.jpg
 2-76614931.jpg

ЦВМА ф.864, оп.1, д.1342
Донесения о безвозвратных потерях.
ОРСО Беломорской ВФ №01655 от 03.09.1943 г., ЦБУП УПК ВМФ вх.№2262с 09.10.1943
 864-0000001-1342-00000183.jpg
 864-0000001-1342-00000184.jpg

Аватара пользователя
[ Леспромхоз ]
Редактор
Редактор
 
Сообщения: 10685
Зарегистрирован: 02 Июль 2007 00:17
Откуда: Петрозаводск

Козлов Владимир Александрович, инженер-лейтенант, к-р БЧ-5

Сообщение [ Леспромхоз ] » 10 Июль 2012 09:52

 к1-75828470-Козлов Владимир Александрович.jpg
Номер записи 75828472
Фамилия Козлов
Имя Владимир
Отчество Александрович
Дата рождения __.__.1920
Место рождения г. Краснодар
Дата и место призыва доброволец, г. Тула
Последнее место службы БВФ, ТЩ-58
Воинское звание инженер-лейтенант
Причина выбытия погиб
Дата выбытия 25.07.1943
Название источника информации ЦВМА
Название картотеки Картотека безвозвратных потерь
Аватара пользователя
[ Леспромхоз ]
Редактор
Редактор
 
Сообщения: 10685
Зарегистрирован: 02 Июль 2007 00:17
Откуда: Петрозаводск

Шепель Михаил Михайлович, ст.2-й ст., к-о кор.маш.

Сообщение [ Леспромхоз ] » 10 Июль 2012 10:06

 к2-75699237-Шепель Михаил Михайлович.jpg
Номер записи 75699239
Фамилия Шепель
Имя Михаил
Отчество Михайлович
Дата рождения __.__.1910
Место рождения Белорусская ССР, Брестский р-н, Пружанский р-н, д. Арабинку
Дата и место призыва Первомайский РВК, Архангельская обл., г. Архангельск, Первомайский р-н
Последнее место службы БВФ, ТЩ-58
Воинское звание старшина 2 ст.
Причина выбытия погиб
Дата выбытия 25.07.1943
Название источника информации ЦВМА
Название картотеки Картотека безвозвратных потерь
Аватара пользователя
[ Леспромхоз ]
Редактор
Редактор
 
Сообщения: 10685
Зарегистрирован: 02 Июль 2007 00:17
Откуда: Петрозаводск

Саньков Петр Васильевич, ст.1-й ст., боцман

Сообщение [ Леспромхоз ] » 10 Июль 2012 13:56

 к3-76214840-Саньков Петр Васильевич.jpg
Номер записи 76214842
Фамилия Саньков
Имя Петр
Отчество Васильевич
Дата рождения __.__.1914
Место рождения Ленинградская обл., Андомский р-н, д. Темково
Дата и место призыва Вытегорский РВК
Последнее место службы КБФ, ТЩ 58
Воинское звание старшина 1 ст.
Причина выбытия погиб
Дата выбытия 25.07.1943
Название источника информации ЦВМА
Название картотеки Картотека безвозвратных потерь
Аватара пользователя
[ Леспромхоз ]
Редактор
Редактор
 
Сообщения: 10685
Зарегистрирован: 02 Июль 2007 00:17
Откуда: Петрозаводск

Зуров Петр Никитович, мл.сержант, кладовщик

Сообщение [ Леспромхоз ] » 10 Июль 2012 14:03

 к4-75803301-Зуров Петр Никитович.jpg
Номер записи 75803303
Фамилия Зуров
Имя Петр
Отчество Никитович
Дата рождения __.__.1918
Место рождения Орловская обл., Климовский р-н, Чуровичский с/с, д. Фаевич
Дата и место призыва Днепропетровский ГВК, Украинская ССР, Днепропетровская обл., г. Днепропетровск
Последнее место службы БВФ, ТЩ-58
Воинское звание мл. сержант
Причина выбытия погиб
Дата выбытия 25.07.1943
Название источника информации ЦВМА
Название картотеки Картотека безвозвратных потерь
Аватара пользователя
[ Леспромхоз ]
Редактор
Редактор
 
Сообщения: 10685
Зарегистрирован: 02 Июль 2007 00:17
Откуда: Петрозаводск

Нарушевич Ростислав Васильевич, ст.к-фл., ст. кор.маш.

Сообщение [ Леспромхоз ] » 10 Июль 2012 14:07

 к5-76170778-Нарушевич Ростислав Васильевич.jpg
Номер записи 76170780
Фамилия Нарушевич
Имя Ростислав
Отчество Васильевич
Дата рождения __.__.1913
Место рождения г. Ленинград
Дата и место призыва Первомайский РВК
Последнее место службы БВФ, ТЩ 58
Воинское звание ст. краснофлотец
Причина выбытия погиб
Дата выбытия 25.07.1943
Название источника информации ЦВМА
Название картотеки Картотека безвозвратных потерь
Аватара пользователя
[ Леспромхоз ]
Редактор
Редактор
 
Сообщения: 10685
Зарегистрирован: 02 Июль 2007 00:17
Откуда: Петрозаводск

Нарицин Вениамин Николаевич, к-фл., машинист

Сообщение [ Леспромхоз ] » 10 Июль 2012 14:14

 к6-76170706-Нарицин Вениамин Николаевич.jpg
Номер записи 76170708
Фамилия Нарицин
Имя Вениамин
Отчество Николаевич
Дата рождения __.__.1912
Место рождения Вологодская обл., Усть-Алексеевский р-н, В.-Каренский с/с, д. Гора
Дата и место призыва Котласский РВК
Последнее место службы БВФ, ТЩ 58
Воинское звание краснофлотец
Причина выбытия погиб
Дата выбытия 25.07.1943
Название источника информации ЦВМА
Название картотеки Картотека безвозвратных потерь
Аватара пользователя
[ Леспромхоз ]
Редактор
Редактор
 
Сообщения: 10685
Зарегистрирован: 02 Июль 2007 00:17
Откуда: Петрозаводск

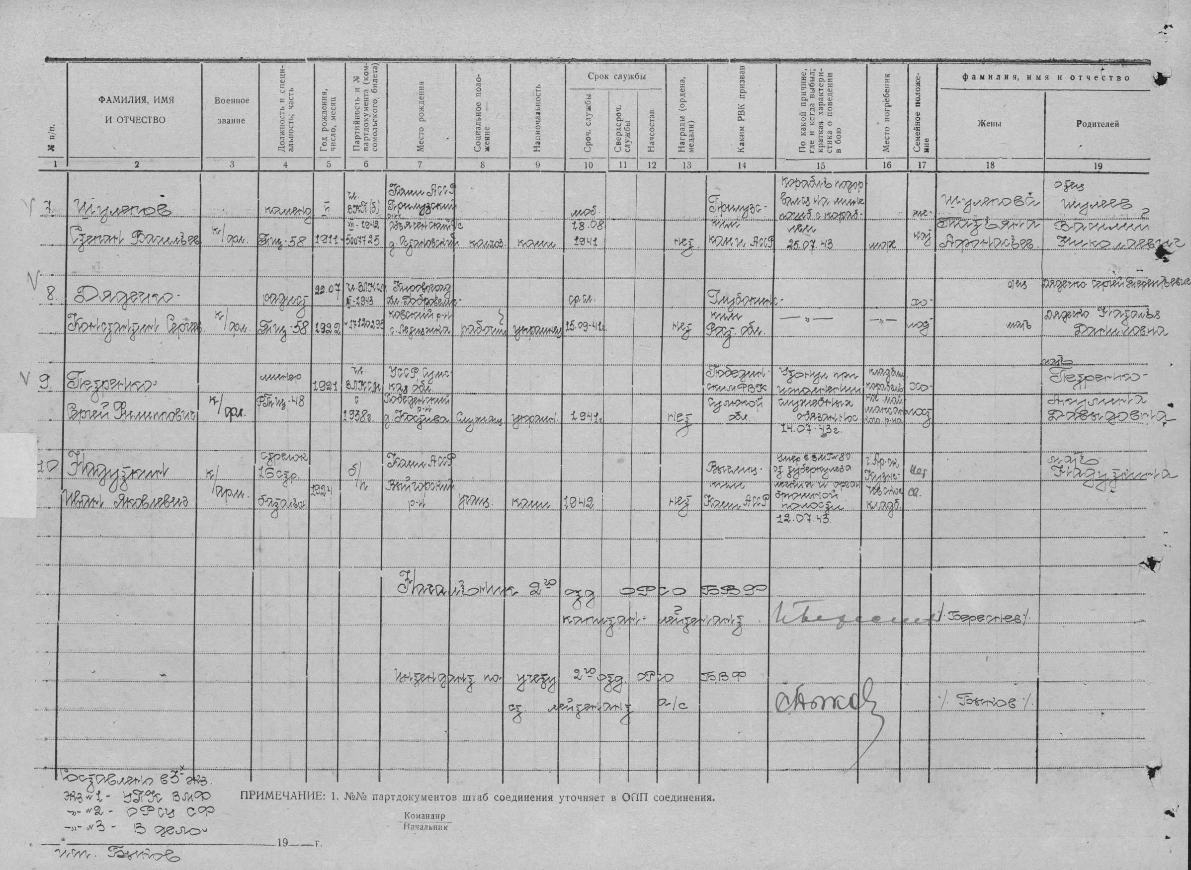
Шулепов Степан Васильевич, к-фл., комендор

Сообщение [ Леспромхоз ] » 10 Июль 2012 14:20

 к7-75706652-Шулепов Степан Васильевич.jpg
Номер записи 75706654
Фамилия Шулепов
Имя Степан
Отчество Васильевич
Дата рождения __.__.1911
Место рождения Коми АССР, Прилузский р-н, Объяченский с/с, д. Остановский
Дата и место призыва Прилузский РВК, Коми АССР, Прилузский р-н
Последнее место службы БВФ, "ТЩ-58"
Воинское звание краснофлотец
Причина выбытия погиб
Дата выбытия 25.07.1943
Название источника информации ЦВМА
Название картотеки Картотека безвозвратных потерь
Аватара пользователя
[ Леспромхоз ]
Редактор
Редактор
 
Сообщения: 10685
Зарегистрирован: 02 Июль 2007 00:17
Откуда: Петрозаводск

Дядечко Константин Сергеевич, к-фл., радист

Сообщение [ Леспромхоз ] » 10 Июль 2012 14:37

 к8-75772149-Дядечко Константин Сергеевич.jpg
Номер записи 75772151
Фамилия Дядечко
Имя Константин
Отчество Сергеевич
Дата рождения __.__.1922
Место рождения Украинская ССР, Кировоградская обл., Добровеличковский р-н, с. Летняжка
Дата и место призыва Глубокинский РВК, Ростовская обл., Глубокинский р-н
Последнее место службы БВФ, ТЩ-58
Воинское звание краснофлотец
Причина выбытия погиб
Дата выбытия 25.07.1943
Название источника информации ЦВМА
Название картотеки Картотека безвозвратных потерь
Аватара пользователя
[ Леспромхоз ]
Редактор
Редактор
 
Сообщения: 10685
Зарегистрирован: 02 Июль 2007 00:17
Откуда: Петрозаводск

Амосов Григорий Александрович, к-фл., ст.трюм.маш.

Сообщение [ Леспромхоз ] » 10 Июль 2012 14:41

 к3-75469068-Амосов.jpg
Номер записи 75469070
Фамилия Амосов
Имя Григорий
Отчество Александрович
Дата рождения __.__.1898
Место рождения Архангельская обл., Соломбальский р-н, Пустошинский с/с, д. Острова
Дата и место призыва Пролетарский РВК, Архангельская обл., г. Архангельск, Пролетарский р-н
Последнее место службы БВФ, ТЩ-58
Воинское звание краснофлотец
Причина выбытия погиб
Дата выбытия 25.07.1943
Название источника информации ЦВМА
Название картотеки Картотека безвозвратных потерь
Аватара пользователя
[ Леспромхоз ]
Редактор
Редактор
 
Сообщения: 10685
Зарегистрирован: 02 Июль 2007 00:17
Откуда: Петрозаводск

Федоров Михаил Федорович, лейтенант, к-р деж.служ.CНИС

Сообщение [ Леспромхоз ] » 10 Июль 2012 14:49

 к2-Федоров Михаил Федорович.jpg
Номер записи 76258505
Фамилия Федоров
Имя Михаил
Отчество Федорович
Дата рождения __.__.1919
Место рождения Воронежская обл., ст. Росташевка
Последнее место службы БВФ, Ново-Земельный учеб. СНиС
Воинское звание лейтенант
Причина выбытия погиб
Дата выбытия 25.07.1943
Название источника информации ЦВМА
Название картотеки Картотека безвозвратных потерь
Аватара пользователя
[ Леспромхоз ]
Редактор
Редактор
 
Сообщения: 10685
Зарегистрирован: 02 Июль 2007 00:17
Откуда: Петрозаводск

ЗАДОРИН Павел Алексеевич, старший лейтен.запаса, К-р ТЩ-58

Сообщение [ Леспромхоз ] » 10 Июль 2012 14:55

 Задорин ПА.JPG
 Задорин ПА-2.JPG
ЗАДОРИН Павел Алексеевич, в 1930-х годах капитан на промысловых судах Северного бассейна. Известие о войне встретил на промысле на РТ «Коломна». В годы ВОВ – командир корабля Беломорской военной флотилии – осуществлял проводку караванов судов с народнохозяйственными грузами в Арктике, тралил мины. За боевые действия награжден орденами Великой Отечественной войны 2-й степени и Красной Звезды. После войны участвовал в исследовании и освоении Центрального, Новоземельского, Печеро-Колгуевского и других районов промысла в Северном Ледовитом океане. В 1954 году на РТ-97 возглавлял научно-поисковую экспедицию по освоению Большой Ньюфаундлендской банки. В 1958 году руководил экспедицией к берегам Африки, где впервые экипаж его судна осваивал разноглубинный лов сардины. Руководил экипажами БМРТ, промышлявшими в районах Дальнего Запада. Около 20-ти его воспитанников-штурманов стали капитанами. В 1970 году Мурманская студия телевидения посвятила П.А.Задорину одну из передач «Спасибо тебе, Человек!» Награжден орденом Октябрьской революции (1970).
Источник: еженедельник «Рыбный Мурман», 1997 (Энциклопедия Кольского края), № 130 1970, № 16 1972, № 81 1973, № 1 1980, № 14 1984 года.
http://rmpoisk.narod.ru/
Аватара пользователя
[ Леспромхоз ]
Редактор
Редактор
 
Сообщения: 10685
Зарегистрирован: 02 Июль 2007 00:17
Откуда: Петрозаводск

БУРКОВ Федор Прокопьевич

Сообщение [ Леспромхоз ] » 10 Июль 2012 15:10

На снимке: С.Д.Копытов (в центре) беседует с бывшим начальником МТФ В.М.Маевским и капитаном Ф.П.Бурковым (справа). : Бурков.jpg
БУРКОВ Федор Прокопьевич, капитан на судах Мурманского тралового флота и Мурмансельди, один из старейших капитанов северного бассейна. Участник ВОВ. Кавалер многих правительственных наград. Умер в Мурманске в канун 1979 года.
Источник: газета "Рыбный Мурман" № 15 1968, № 1 1979 года.
http://rmpoisk.narod.ru/

Бурков Федор Прокопьевич (1906, д. Верховье Арх. губ.), работник рыб. пром-сти. Уч-к ВОВ, защитник Сов. Заполярья на тральщиках СФ. С нач. 1920-х — кок, матрос зверобойного судна "Тюлень"; в 1925—1926 — матрос экспедиционного судна "Персей"; с 1927 — на судах Арх. тралового флота, МТФ; в 1948—1961 — раб-к упр. "Мурмансельдь". Награжд. орд Ленина, Труд. Красного Знамени, Отеч. войны II ст., мед.

Источник: «Кольская энциклопедия»
http://kolaenc.gov-murman.ru/enc/b/inde ... l=25&top=1
Аватара пользователя
[ Леспромхоз ]
Редактор
Редактор
 
Сообщения: 10685
Зарегистрирован: 02 Июль 2007 00:17
Откуда: Петрозаводск

Евсеев Александр Куприянович, капитан 1 ранга, НШ НЗВМБ

Сообщение [ Леспромхоз ] » 10 Июль 2012 16:30

Евсеев Александр Куприянович, 1902 года рождения, капитан 1 ранга, назначен начальником штаба Новоземельской ВМБ приказом НКВМФ № 02531 от 30 октября 1942 года, убыл в распоряжение командующего Беломорской флотилией на основании приказа НКВМФ № 02551 от 6 августа 1943 года.

Источник: Щедролосев Владимир Васильевич. Три сестры Беломорской флотилии (военно-исторические очерки). СПб.: издательство «ЛеКо», 2006. 200 с: илл.

ЦВМА ф.3, оп.1, д.6
 003-0000001-0006-00000082 Евсеев АК.jpg
Номер записи 76659058
Фамилия Евсеев
Имя Александр
Отчество Куприянович
Дата рождения/Возраст __.__.1902
Последнее место службы ЧФ, 7 бр. мор. пехоты
Воинское звание капитан 1 ранга
Причина выбытия осужден
Дата выбытия Не позднее 25.06.1942

ЦВМА ф.920, оп.2, д.29
 0920-0000002-0029-00000066 Евсеев АК.jpg
Фамилия Евсеев
Имя Александр
Отчество Куприянович
Последнее место службы ЧФ, БП штаб
Воинское звание капитан 1 ранга
Причина выбытия жив

А.К.Евсеев "Осажденный Севастополь. Воспоминания" Л., ЛО "Советский писатель", 1959 г., 256 стр. : Евсеев small.jpg

Коллеги, возможно я ошибаюсь, но мне кажется это "наш Евсеев",автор засекреченных «ЗАПИСОК УЧАСТНИКА ОБОРОНЫ СЕВАСТОПОЛЯ»
Аватара пользователя
[ Леспромхоз ]
Редактор
Редактор
 
Сообщения: 10685
Зарегистрирован: 02 Июль 2007 00:17
Откуда: Петрозаводск

Евсеев Александр Куприянович, капитан 1 ранга

Сообщение [ Леспромхоз ] » 10 Июль 2012 22:07

© Лурье В. М., Кочик В. Я. ГРУ: дела и люди. — СПб.: Издательский Дом "Нева"; М.: «ОЛМА-ПРЕСС». 2002. - 640 с.

Евсеев Александр Куприянович
29.08.(11.09). 1902, г. Пенза — 12.12.1957, Ленинград.
Русский. Из крестьян. Капитан 1 ранга (03.07.1940). Кандидат военных наук (1946), доцент (1947). В ВМФ с 1922. Член компартии с 1927 (с перерывом 1941 — 1944). Окончил подготовительную школу для моряков военного флота в Петрограде (июль—октябрь 1922). Военно-морское училище (октябрь 1922 — май 1925), артиллерийский класс СККС ВМС (октябрь 1926 — ноябрь 1927), военно-морской факультет Военно-морской академии им. К. Е. Ворошилова (октябрь 1928 — февраль 1931).
Краснофлотец 1-го БФЭ (март—июнь 1922). Электротехник ЭМ «Ленин» (май—ноябрь 1925), артиллерист ЭМ "Сталин" (ноябрь 1925 — октябрь 1926), «Калинин» (ноябрь 1927 — октябрь 1928) МСБМ. Помощник начальника 2-го отдела Учебно-строевого управления УВМС РККА (февраль 1931 — февраль 1933), начальник иностранного сектора РУ штаба РККА (февраль 1933 — ноябрь 1934), РО штаба флота (ноябрь 1934 — июль 1936), помощник командира ЭМ «Калинин» (июль—декабрь 1936), командир ЭМ «Яков Свердлов» (декабрь 1936 — март 1938), помощник начальника штаба флота (март—июль 1938), начальник штаба бригады минных кораблей (июль 1938 — май 1939) КБФ. Начальник 2-го отдела ГМШ ВМФ (май 1939 — июль 1940), заместитель начальника Главного Управления ВМФ (июль 1940 — июнь 1941).
Участник Великой Отечественной войны. Командир Учебного отряда (июнь- сентябрь 1941), начальник отдела боевой подготовки штаба ЧФ (сентябрь— декабрь 1941), помощник начальника оперативного отделения штаба 7-й бригады морской пехоты (март—сентябрь 1942). В распоряжении командующего ВВФ (сентябрь—октябрь 1942), СФ (октябрь 1942). Начальник штаба Новоземельской ВМБ Беломорской военной флотилии (октябрь 1942 — август 1943), тяжело ранен. В госпитале на излечении (август 1943 — февраль 1944).
Начальник кафедры тактики флота (февраль 1944 — сентябрь 1948), заместитель начальника той же кафедры (сентябрь 1948 — сентябрь 1950) ВВМУ им. М. В. Фрунзе.
С июля 1950 в отставке.
Награжден орденом Ленина (1947), тремя орденами Красного Знамени (1923, 1943, 1944), медалями.


Взрыв на форту "Павел". Подборка материалов
http://rufort.info/library/kalinin3/kalinin3.html
О подвиге курсантов на форту "Павел" рассказала газета "Красный Балтийский флот" 25 июля 1923 года : Курсанты.jpg

Поленов Л.Л. Крейсер Аврора. Ленинград: Судостроение, 1987. Стр. 200–201:

"Навсегда остались в истории крейсера события ночи с 19 на 20 июля. "Аврора стояла на Большом Кронштадтском рейде. В 22 ч 30 мин вахтенный сигнальщик заметил дым на ближайшем к кораблю форте "Павел", где находился склад мин заграждения. Там что-то горело. С крейсера были посланы слушатели училища под командованием командира РККФ В.В. Гедле, шлюпка-шестерка которого первой подошла к форту. Высадившиеся на берег обнаружили горящую мину. Моряки, не думая о своей жизни, начали ее тушить и попытались сбросить в воду. Но не успели. Раздался взрыв... Пожар и взрывы на форте продолжались до 1 ч 30 мин следующих суток. С риском для жизни к форту вскоре после первого взрыва подошел 12-весельный катер "Авроры" под командой младшего артиллериста крейсера Я.П. Янсона. Отыскав и подобрав на форте раненых и контуженных, катер под грохот взрывов возвратился на корабль. В результате взрыва мин на форте "Павел" из девяти человек экипажа шестерки погибли командир РККФ В.В. Гедле, слушатели Г.И. Альман, К.Я. Казаков, М.У. Ушерович, были ранены и контужены А.К. Евсеев, Н.К. Моралев, В.И. Полещук, Ф.С. Седельников и только К.И. Сокольский остался невредимым. Советское правительство достойно оценило подвиг моряков, наградив всех девятерых орденами Красного Знамени"
Аватара пользователя
[ Леспромхоз ]
Редактор
Редактор
 
Сообщения: 10685
Зарегистрирован: 02 Июль 2007 00:17
Откуда: Петрозаводск

Тральщик Т-904/ТЩ-58 (РТ-94 "Жданов")

Сообщение [ Леспромхоз ] » 11 Июль 2012 08:35

http://www.vnao.ru/index.php?option=com ... 8-09-96-97
© 2007—2009 «Выбор НАО»

Пароход идёт по морю…

Говорят, женщина на корабле – быть беде. История, которая началась в Нарьян-Маре почти 70 лет назад, подтверждает обратное.

Участников её среди нас почти не осталось, но память о подвиге печорских речников должна сохраниться.

Летом 1943 года Совет Народных Комиссаров СССР принял решение перевести пятнадцать колесных пароходов с Печоры на Обь. Там в то время не хватало буксирной тяги для перевозки мяса и хлеба, угля и леса, которые были очень нужны для фронта, шахт Кузбасса и строительства жилых и промышленных зданий для эвакуированных с запада в Сибирь военных заводов. Впервые в истории Северного морского пути речные колесники должны были пройти 1500 морских миль.

Задание товарища Микояна

... Ранней весной 1943 года нарком речного флота СССР Зосима Алексеевич Шашков вызвал начальника одного из управлений наркомата Виктора Алексеевича Рязанова и сообщил, что перед речниками в наступившую навигацию поставлена задача обеспечить перевозку народнохозяйственных грузов в связи с быстрым развитием промышленности и сельского хозяйства в бассейне рек Оби и Иртыша. Задача весьма трудная, поскольку строить самоходные суда и баржи на месте негде, да и некогда. Единственный выход – пополнить флот можно только за счет переброски судов из других бассейнов. В связи с этим речникам Севера следует перегнать с Печоры на Обь через Арктику полтора десятка судов и два земснаряда. Вопрос на контроле у заместителя председателя Совнаркома Анастаса Ивановича Микояна.

– По морю? – не сдержал изумления Рязанов. – Колесники по Карскому морю? Да ведь от них щепок в случае чего не соберешь!

– Вот и я стал Микояну об этом говорить, – ответил нарком, – а он мне: идет война, значит, и в тылу надо действовать по-военному. Короче говоря, надо ехать в Нарьян-Мар, готовить экспедицию. В помощь тебе придается капитан дальнего плавания из Архангельска.

Матросы в сарафанах

В конце мая Рязанов прибыл в затон на Печоре, где находился на отстое самоходный флот. Из намеченных к отправке судов лишь один был винтовой, остальные – колесные плоскодонные буксиры. Но что делать, приказы не обсуждают, а выполняют. Обнаружилась и еще одна сложность: суда не были укомплектованы командами. Тогда в местных газетах срочно опубликовали объявления: требуются матросы, кочегары, масленщики на речной флот.

Состоялось у Рязанова знакомство и с капитаном дальнего плавания Гольдбергом, о котором говорил нарком. Поначалу приятного впечатления на Рязанова капитан не произвел: при знакомстве руки из карманов кителя не вынул, показалось, будто от высокомерия. Да к тому же при капитане безотлучно находится молодая женщина по имени Зиночка, что тоже не понравилось начальнику экспедиции. Но в ходе разговора выяснилось, что кисти рук у капитана ампутированы, и без постоянного помощника он обходиться не может. Впрочем, выбирать было не из кого, а в море без морского капитана речникам не обойтись.

Вскоре стали появляться в затоне желающие работать на судах, в большинстве своем – женщины. Вот перед Рязановым одна из них. Одета в длинный сарафан, в кофту с буфами, в длиннющих косах яркие ленты, на ногах самовязаные чулки в полоску – соблюден весь национальный наряд усть-цилемки. Смотрит посетительница весело, голос звонок:

– Вам матросы нужны?

Смотрит на посетительницу Рязанов, прикидывает: ну какой из нее матрос? А перед ним на столе листок шифрограммы из Москвы: нарком требует ускорить комплектование команд. Связь с Москвой налажена постоянная, как обещал нарком, в экспедицию прибыла радистка с радиоаппаратурой – в море без связи не обойдешься.

– Ну, пиши заявление, Дарья. Беру тебя в матросы!

К концу мая ушла в Москву радиограмма: комплектование команд закончено, в экипажах 75 женщин, то есть более одной трети личного состава экспедиции. Подписывая документ, Рязанов усмехнулся: местные остряки звали новоявленных матросов «сарафанами».

Семейный заплыв

В затоне одновременно с укомплектованием экипажей шли работы по подготовке речных колесников: заваривались иллюминаторы, наращивались комингсы, устанавливались цистерны для питьевой воды, ящики для каменного угля, укреплялись на фундаментах котлы. Ведь предстояло пройти на речных буксирах по морским просторам почти полторы тысячи миль. Немало хлопот вызвало дополнительное крепление судовых корпусов, для чего между носом и кормой натягивались стальные тросы. Сделано это было по совету капитана дальнего плавания, представившего Рязанову расчет о том, что на морском волнении за счет тросов будет увеличена прочность носовой и кормовой оконечности речного плоскодонного судна. С каждым днем начальник экспедиции проникался все большим уважением к своему помощнику.

Вместе с конвертацией в затоне Щельяюра шла учеба экипажей: «сарафанных» матросов обучали, как разводить огонь в котлах, держать пар на марке, следить за манометром. Учеба строилась по принципу – как можно проще, поскольку многие из «сарафанов» были неграмотными. Те из них, кто умел держать карандаш в руках, старательно записывал в самодельные, из обоев, тетради мудреную корабельную терминологию, названия механизмов и систем.

Ученикам в сарафанах было не до тонкостей, усекли главное: начальник хочет, чтобы из трубы парохода дым не валил клубами, а струился еле заметным маревом. За соблюдением требования Рязанов следил строго, и если оно нарушалось, в клубах дыма и пара явственно слышались обвинения в адрес виновников. В таких случаях «сарафаны» боязливо помалкивали. Но зато против «горячих» замечаний поднялись капитанские жены, которые решили идти в переход вместе с мужьями, а то и целыми семьями, ведь уходили-то на Обь навсегда.

Как-то раз к Рязанову подошел механик с одного из буксиров:
- Уволь меня! Я с одной своей бабой не могу управиться всю жизнь, а теперь их на судне целый десяток.
Не успел уговорить бедолагу, пришел еще один и тоже механик:
– Дочь схоронил. Жена померла.
– Чем помочь?
– Еще одна дочь осталась. Разреши взять в рейс.
– Ну, что ж, бери….

Разрешил, а тут выяснилось, дочери механика всего три года. Кто стирать, готовить для нее будет? Но ведь лишнего механика в затоне не сыщешь. Уж лучше договориться, чтобы кто-нибудь из «сарафанов» присмотрел за девочкой.

Не дыми, пароход

В состав экспедиции вошли четыре 300-сильных, восемь 200-сильных и три 150-сильных буксира, имевших максимальную скорость 6 узлов (10 км/час). Выйдя ночью 16 июля 1943 года в строгой секретности из Щельяюра, речная эскадра прибыла в Нарьян-Мар через три дня. В нашем порту собралось тогда 15 буксиров – «На вахте», «Плотник», «Кажим», «Металлист», «Волга», «Профсоюзник», «Иртыш», «Усть-Уса» и другие. Из Нарьян-Мара речные суда сопровождались кораблями Беломорской военной флотилии – тремя тральщиками и спасательным судном «Шквал». Кроме того, для сопровождения каравана при переходе по Баренцеву и Карскому морям в устье Печоры подошел ещё один тральщик. Выход каравана был намечен на 23 июля. Отчаливали ночью, без гудков, без сигнальных огней. Семь судов взял на буксир один из сторожевиков, по четыре взяли тральщики ТЩ-62 и ТЩ-54. Возглавил караван флагман ТЩ-58 под командованием капитана 1-го ранга Елисеева (Ошибка: правильно Евсеев Александр Куприянович-padsee), а четвертый тральщик находился мористее по курсу в боевом охранении.

На совещании у флагмана было объявлено: идти без дымов, соблюдать радиомолчание, переговариваться флажным семафором и световыми сигналами. Всем морякам была памятна история годичной давности, когда немецкая подлодка расстреляла у о. Матвеев караван беззащитных суденышек.

25 июля 1943 г. караван подходил уже к горлу пролива Югорский Шар. Неожиданно раздался взрыв. Над флагманом возникло облако серо-белого дыма. Менее чем через две минуты корабль затонул. К месту взрыва устремились шлюпки, которым удалось подобрать тонущих моряков. Раненых доставили на буксир «Иртыш», на котором находился врач экспедиции. Как выяснилось, флагманский тральщик подорвался на мине, унеся жизни одиннадцати моряков. (?)

Караван был вынужден встать на якоря. Стоянка продолжалась двое суток, в течение которых тральщики проводили боевое траление в проливе и на подходах к нему. Во время траления подорвался еще один боевой корабль. Летом 1943 г. немецкое командование предприняло попытку сорвать судоходство в Арктике, используя подводные лодки, число которых доходило в том районе до двух десятков. Субмарины противника выставили минные заграждения у новоземельских проливов, у Диксона, в Обской губе и Енисейском заливе. Вся надежда была на тралы «пахарей моря» и глубинные бомбы сторожевиков.
Аватара пользователя
[ Леспромхоз ]
Редактор
Редактор
 
Сообщения: 10685
Зарегистрирован: 02 Июль 2007 00:17
Откуда: Петрозаводск

БУРКОВ Федор Прокопьевич

Сообщение insp2 » 11 Июнь 2013 17:32

Леспромхоз пишет:
Бурков.jpg
БУРКОВ Федор Прокопьевич, капитан на судах Мурманского тралового флота и Мурмансельди, один из старейших капитанов северного бассейна. Участник ВОВ. Кавалер многих правительственных наград. Умер в Мурманске в канун 1979 года.
Источник: газета "Рыбный Мурман" № 15 1968, № 1 1979 года.
http://rmpoisk.narod.ru/

Бурков Федор Прокопьевич (1906, д. Верховье Арх. губ.), работник рыб. пром-сти. Уч-к ВОВ, защитник Сов. Заполярья на тральщиках СФ. С нач. 1920-х — кок, матрос зверобойного судна "Тюлень"; в 1925—1926 — матрос экспедиционного судна "Персей"; с 1927 — на судах Арх. тралового флота, МТФ; в 1948—1961 — раб-к упр. "Мурмансельдь". Награжд. орд Ленина, Труд. Красного Знамени, Отеч. войны II ст., мед.

Источник: «Кольская энциклопедия»
http://kolaenc.gov-murman.ru/enc/b/inde ... l=25&top=1

Именем этого БУРКОВА названа улица в МУРМАНСКЕ? Она проходит параллельно пр.Ленина, но повыше на 70-80 метров,бывшая ул.МИКОЯНА,ныне ул.капитана БУРКОВА. На ней жили многие заслуженные работники Мурманского пароходства.В том числе и незабываемый для плавсостава старший инспектор Отдела кадров ММП БОРИС СЕМЕНОВИЧ СОЛОВЬЕВ (1935-2003).
Может быть заслуженного рыбацкого капитана в Персоналии можно вывести?
Последний раз редактировалось insp2 11 Июнь 2013 20:49, всего редактировалось 1 раз.
Аватара пользователя
insp2
 
Сообщения: 479
Зарегистрирован: 29 Январь 2011 22:51
Откуда: С-Петербург

Тральщик Т-904/ТЩ-58 (РТ-94 "Жданов")

Сообщение [ Леспромхоз ] » 11 Июнь 2013 17:46

Конечно можно!
Давайте материал.
Википедия пишет, что улица названа в честь Буркова Константина Лаврентьевича.
http://ru.wikipedia.org/wiki/%D0%91%D1% ... 0%B8%D1%87
СПИСОК УЛИЦ г. МУРМАНСКА НА 1973 ГОД :
 Бурков Константин Лаврентьевич.jpg
Улица Капитана Буркова. Она стоит на самой кромке третьей террасы, занимая весь увал от долины Варничного ручья до улицы Карла Маркса. На ней лишь два автомобильных спуска в цент­ральную часть города - по улицам Книповича и Карла Маркса, но зато пеше­ходные подступы разнообразны: гранит­ная лестница и несколько деревянных, пологие тропы, каменистые подъемы, обходные дорожки. Каждый может вы­брать себе путь сообразно желанию, си­лам и погоде...
Фасад улицы смотрит на залив, снизу видны по ночам неоновые огни: «Комиссионный магазин», «Хозтовары», «Мебель», «Дом книги». Улица благоустраивается, прихорашивается, окончательно формируется. Ее центр - у школы № 1, которая построена еще до воины и называлась тогда семнадцатой (в пору раздельного обучения она была муж­ской). Большинство же деревянных домов улицы сгорело во время бомбежек.
В послевоенной ее истории есть при­мечательный момент: здесь встало пер­вое в Мурманске девятиэтажное здание. А рядом с ним сейчас оформляется центр отдыха с аттракционами.
Ранее улица называлась Беломор­ской. Но в шестидесятых годах она бы­ла переименована в честь известного промысловика, одного из ветеранов рыбного промысла в Баренцевом море, заслуженного капитана Константина Лаврентьевича Буркова.
...Он был архангельский помор и на­чал плавать с четырнадцати лет. Впер­вые вышел в море коком на маленьком боте. Ступеньки служебной лестницы, по которой Бурков поднимался на капитан­ский мостик, оказались нелегкими даже для тех суровых двадцатых годов. Юно­шеские годы были отданы матросской работе, и теорию судовождения при­шлось постигать уже семейным челове­ком, за плечами которого - четверть века. Учеба проходила на вечернем от­делении Архангельского мореходного техникума. Когда Константин Бурков получил диплом, местная судоверфь как раз спустила на воду единственный пока еще «рыболовный комбайн».
Так волею обстоятельств капитанское крещение не­давнего курсанта и морское крещение рыболовного комбайна № 1 пришлись на один и тот же рейс...
Первой наградой за ударную работу на промысле стал для Константина Лаврентьевича именной подарок наркома: карманные часы - большая серебряная луковица. Капитан хранил и берег их до того дня Великой Отечественной войны, когда советские люди начали сбор денежных средств и изделий из благо­родных металлов в фонд обороны. В квартире Бурковых самой большой цен­ностью оказались эти наркомовские ча­сы да еще серебряные столовые ложки. Надо ли говорить, что Мария Владими­ровна, жена капитана, сдала и то и другое...
В 1940 году страна отметила К. Л. Буркова боевым орденом - орденом Красного Знамени. Участник войны с белофиннами, он первым ступил на при­чал освобожденной Печенги (Петсамо) и разминировал его.
А в разгар Великой Отечественной войны, 24 июля 1943 года, «Полярная правда» писала:
«Кто в траловом флоте не знал «ко­робки», на которой плавал Константин Лаврентьевич Бурков! Бывалый моряк, он ходил в широкие просторы Баренце­ва моря не только промысловиком, но и исследователем. Море учило его, и он был прилежным учеником.
В один из последних налетов на ко­рабль напали семнадцать самолетов вра­га. Бомбы ложились у самого борта, и вода кругом бурлила, как кипяток. Ни одна из брошенных бомб не угодила в корабль. Бурков умело маневрировал, не прекращая огня по машинам про­тивника.
После одного из сражений Буркова доставили в госпиталь с ранением. Но ненадолго это расставание. Вернется Бурков снова на родной корабль. А если и на другой, то там он будет таким же боевым командиром. И корабль будет такой же боевой...»
Прогноз оказался точным. Свиде­тельством ратной доблести капитана служат орден Отечественной войны 1-й степени, два ордена Красной Звезды, ме­даль «За отвагу». Он очень дорожил этой медалью. Говорил: «Это - солдат­ская. Она дается только за личную храбрость».
Война не кончилась для него с по­следним победным залпом. Еще больше года прочесывал он на тральщике Ба­ренцево море, вылавливая разбросанные фашистами мины. Хотел, чтобы его то­варищи рыбачили в безопасных водах...
К мирному труду он вернулся на траулере «Киров». Судно-рекордсмен, слава которого гремела еще со времен довоенных пятилеток, вновь показало себя. И мало кто знал, подсчитывая уло­вы его экипажа, что у капитана после фронтового ранения на Рыбачьем почти не действует одна рука.
1949 год. Траулер «Киров» в ремонте. Константин Лаврентьевич принял «Семгу». Большая статья в «Полярной правде» рассказывает: судно попало в жестокий шторм силой одиннадцать баллов, потек котел, команда во главе с капи­таном боролась за спасение судна и с честью вышла из тяжкого испытания.
1950 год. Константин Лаврентьевич Бурков - начальник промразведки. Ему вручена высшая награда страны - орден Ленина.
Он был беспредельно предан морю, и врачи, одно время запрещавшие ему плавать, казалось, выбивали у него поч­ву из-под ног.
Он был удивительно бескорыстен. Имея после войны право на пенсию по ранению, сказал жене: «Ты уж не оби­жайся. Я эти деньги получать не могу и не буду».
Он был верен своему делу до конца. И умер он по пути на корабль, на шестом причале рыбного порта. От разры­ва сердца...
Аватара пользователя
[ Леспромхоз ]
Редактор
Редактор
 
Сообщения: 10685
Зарегистрирован: 02 Июль 2007 00:17
Откуда: Петрозаводск

БУРКОВ Федор Прокопьевич

Сообщение [ Леспромхоз ] » 11 Июнь 2013 19:59

Бурков Федор Прокопьевич
год рождения __.__.1906
мл. лейтенант
в РККА с __.__.1941 года

Орден Отечественной войны II степени
http://www.podvignaroda.ru/?n=50791699
Приказ или указ: Архив ЦВМА фонд 3 опись 1 единица хранения 594
 3-1-594-00000141.jpg
 3-1-594-00000142.jpg
 3-1-594-00000143.jpg

Наградной лист: фонд 3 опись 1 единица хранения 716
 3-1-716-00000151.jpg
 3-1-716-00000152.jpg
 3-1-716-00000153.jpg
Из наградного листа:
За время службы на ТЩ-58 с 11 августа 1941 г. показал себя как смелый, решительный, дисциплинированный, любящий свою специальность - командир. При несении дозорной службы в Барецевом море тов. БУРКОВ будучи вахтенным командиром в марте месяце 1941 г., своевременным открытием огня и умелым маневрированием не допустили к кораблю самолет противника, пытавшийся на бреющем полете обстрелять корабль, пулеметные очереди легли по борту корабля, не причинив ему и личному составу повреждений. При налете авиации противника на Иоканскую ВМБ, когда корабль находился на рейде и участвовал в ПВО базы. 17 мая 1942 г. три "Ю-88" внезапно из облаков начали пикировать на корабль, тов.БУРКОВ будучи вахтенным командиром умело маневрировал кораблем, все сброшенные бомбы упали в море не причинив кораблю повреждения. При выполнении кораблем боевых заданий командования тов. БУРКОВ проявлял упорство и настойчисвость, серьезно взвешивал обстановку на театре, помогал командиру в принятии правильных решений по безопасному проведению конвоев. В ноябре 1942 года при стоянке в Югорском Шаре корабль подвергся сильному дрейфу и сжатию льда, тов. БУРКОВ при отсутствии командира корабля проявил инициативу и настойчивость в борьбе за безаварийность корабля. В течении всей ночи он руководил работами личного состава, вывел корабль из льдов в безопасное место и спас его от гибели, отделавшись мелкими повреждениями надводного борта. За время отечественной войны под навигационным обеспечением тов.БУРКОВА было отконвоировано до 100 транспортов и военных кораблей, пройдено более 35.000 миль в боевых походах без единой навигационной аварии не смотря на тяжелые арктические условия. В июле 1943 года во время формирования 15 речных буксиров для проводки из Нарьян-Мара в Новый порт тов.БУРКОВ принимал активное участие по разработке маршрута перехода конвоя и наставления на переход. Проделал большую работу по обеспечению боевого управления, хорошо организовал подготовку сигнальщиков на речных судах.
При гибели ТЩ-58 от подрыва на мине противника 25 июля 1943 г когда он проводил за тралом 19 судов тов.БУРКОВ получил два ранения и истекая кровью, оставался на своем боевом посту до тех пор пока корабль не погрузился в воду. Дисциплинированный. Пользовался большим авторитетом среди л/с корабля, упорно и настойчиво овладевал военной техникой.
Ходатайствую о награждении тов.БУРКОВА орденом "ОТЕЧЕСТВЕННОЙ ВОЙНЫ II-й СТЕПЕНИ".

КОМАНДИР ТРАЛЬЩИКА 58
Старший Лейтенант:
/ЗАДОРИН/
24 сентября 1943 г.

II. Заключение вышестоящих начальников

Достоин награждения орденом "Отечественной войны II степени"
Командир бригады траления БВФ
Кап. 1 ранга /Белов/
25.09.43 г.

III. Заключение военного совета флота

Наградить орденом Отечественной войны 2 степени

Командующий БВФ
Контр-Адмирал: /Кучеров/
6.12.43 г.
Аватара пользователя
[ Леспромхоз ]
Редактор
Редактор
 
Сообщения: 10685
Зарегистрирован: 02 Июль 2007 00:17
Откуда: Петрозаводск

Три БУРКОВЫХ - три рыбака в МУРМАНСЕЛЬДИ

Сообщение insp2 » 11 Июнь 2013 20:43

Леспромхоз пишет:Конечно можно!
Давайте материал.
Википедия пишет, что улица названа в честь Буркова Константина Лаврентьевича.
http://ru.wikipedia.org/wiki/%D0%91%D1% ... 0%B8%D1%87
СПИСОК УЛИЦ г. МУРМАНСКА НА 1973 ГОД :
Улица Капитана Буркова. Она стоит на самой кромке третьей террасы, занимая весь увал от долины Варничного ручья до улицы Карла Маркса. На ней лишь два автомобильных спуска в цент­ральную часть города - по улицам Книповича и Карла Маркса, но зато пеше­ходные подступы разнообразны: гранит­ная лестница и несколько деревянных, пологие тропы, каменистые подъемы, обходные дорожки. Каждый может вы­брать себе путь сообразно желанию, си­лам и погоде...
Фасад улицы смотрит на залив, снизу видны по ночам неоновые огни: «Комиссионный магазин», «Хозтовары», «Мебель», «Дом книги». Улица благоустраивается, прихорашивается, окончательно формируется. Ее центр - у школы № 1, которая построена еще до воины и называлась тогда семнадцатой (в пору раздельного обучения она была муж­ской). Большинство же деревянных домов улицы сгорело во время бомбежек.
В послевоенной ее истории есть при­мечательный момент: здесь встало пер­вое в Мурманске девятиэтажное здание. А рядом с ним сейчас оформляется центр отдыха с аттракционами.
Ранее улица называлась Беломор­ской. Но в шестидесятых годах она бы­ла переименована в честь известного промысловика, одного из ветеранов рыбного промысла в Баренцевом море, заслуженного капитана Константина Лаврентьевича Буркова.
...Он был архангельский помор и на­чал плавать с четырнадцати лет.

Да-аа. История. Три БУРКОВЫХ из одной деревни, у всех примерно одинаковая судьба,одинаковая работа и даже смерть в одни и те же годы.Только одному из них почему-то было присвоено звание капитан 1 ранга.Обычно торговые моряки на военной службе больше звания капитан-лейтенант не выслуживали. Вопрос снимаю в связи с его неоднозначностью.
Аватара пользователя
insp2
 
Сообщения: 479
Зарегистрирован: 29 Январь 2011 22:51
Откуда: С-Петербург

Тральщик Т-904/ТЩ-58 (РТ-94 "Жданов")

Сообщение [ Леспромхоз ] » 11 Июнь 2013 20:51

Три БУРКОВЫХ из одной деревни

Я думаю больше :)
Только в рыбфлоте пять шесть капитанов было после войны (по книге Г. Буркова).
Аватара пользователя
[ Леспромхоз ]
Редактор
Редактор
 
Сообщения: 10685
Зарегистрирован: 02 Июль 2007 00:17
Откуда: Петрозаводск


Вернуться в Потери кораблей и судов в Арктике во время Великой Отечественной Войны 1941-1945



Кто сейчас на конференции

Сейчас этот форум просматривают: нет зарегистрированных пользователей и гости: 2

Керамическая плитка Нижний НовгородПластиковые ПВХ панели Нижний НовгородБиотуалеты Нижний НовгородМинеральные удобрения